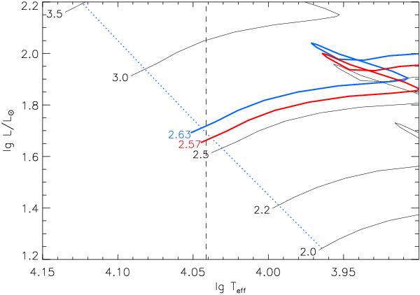
Fig. 5

Luminosity-effective temperature diagram constructed for the components of 66 Eri with the evolutionary calculations by Girardi et al. (2000). The thin solid curves represent the original evolutionary tracks, while thick curves show the tracks interpolated for the final component masses. The dotted line shows the isochrone for log t = 7.47 yr. The vertical dashed line corresponds to mean effective temperature of the components, Teff = 11 000 K.
Current usage metrics show cumulative count of Article Views (full-text article views including HTML views, PDF and ePub downloads, according to the available data) and Abstracts Views on Vision4Press platform.
Data correspond to usage on the plateform after 2015. The current usage metrics is available 48-96 hours after online publication and is updated daily on week days.
Initial download of the metrics may take a while.