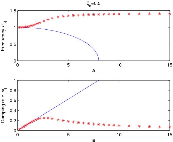
Fig. 1

Alfvén wave frequency vs. normalized wave number. The top (bottom) panel shows the real (imaginary) part of the normalized frequency ϖ = ω/kzvA vs. the normalized wavenumber a = kzvA/νin. The blue line corresponds to the solution of the single-fluid dispersion relation, i.e. Eq. (44) and red asterisks are the solutions of the two-fluid dispersion relation, Eq. (42). The values are calculated for 50% of neutral hydrogen, ξn = 0.5.
Current usage metrics show cumulative count of Article Views (full-text article views including HTML views, PDF and ePub downloads, according to the available data) and Abstracts Views on Vision4Press platform.
Data correspond to usage on the plateform after 2015. The current usage metrics is available 48-96 hours after online publication and is updated daily on week days.
Initial download of the metrics may take a while.