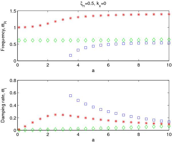
Fig. 3

Frequency and damping rate of different wave modes in two-fluid MHD vs. the normalized wavenumber a = kzvA/νin. Frequencies and damping rates are normalized by kvA. Red asterisks correspond to the fast magneto-acoustic mode and green diamonds correspond to the usual slow magneto-acoustic mode. The mode with the blue squares is the new sort of slow magneto-acoustic wave (“neutral” slow mode), which arises for larger wave numbers. This mode has only an imaginary frequency for small wave numbers, which is not shown in this figure. Frequencies and damping rates are calculated for the waves propagating along the magnetic field. The neutral hydrogen is taken to be 50% (ξn = 0.5). Here we consider csn/vA = 0.5.
Current usage metrics show cumulative count of Article Views (full-text article views including HTML views, PDF and ePub downloads, according to the available data) and Abstracts Views on Vision4Press platform.
Data correspond to usage on the plateform after 2015. The current usage metrics is available 48-96 hours after online publication and is updated daily on week days.
Initial download of the metrics may take a while.