Free Access
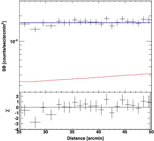
Fig. 2

Fit of the SB profile in the 25-50 arcmin radial range by a constant to estimate the cosmic background component (blue). For comparison, the NXB+SSX profile is shown in red. The bottom panel shows the deviations of the data points to the model in units of σ.
Current usage metrics show cumulative count of Article Views (full-text article views including HTML views, PDF and ePub downloads, according to the available data) and Abstracts Views on Vision4Press platform.
Data correspond to usage on the plateform after 2015. The current usage metrics is available 48-96 hours after online publication and is updated daily on week days.
Initial download of the metrics may take a while.