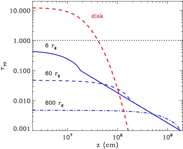
Fig. 6

Optical depth at infinity for 1 GeV photons interacting with non-thermal hard X-rays (10−100 keV). Gamma rays are injected on the axis of the accretion disk at an altitude z (r ≡ 0) and with an inclination ψ = 30°. The corona X-ray density is homogeneous and isotropic in a spherical region of radius Rc = 6 rg (solid line), 60 rg (dashed line) and 600 rg (dotted-dashed line) around the compact object, here a 20 M⊙ black hole (6 rg = 1.8 × 107 cm). Outside, the X-ray flux is radial. The total power injected in hard X-rays is Lc = 5 × 1036 erg s-1. The gamma-ray optical depth from the disk only is shown with the red dashed line for comparison.
Current usage metrics show cumulative count of Article Views (full-text article views including HTML views, PDF and ePub downloads, according to the available data) and Abstracts Views on Vision4Press platform.
Data correspond to usage on the plateform after 2015. The current usage metrics is available 48-96 hours after online publication and is updated daily on week days.
Initial download of the metrics may take a while.