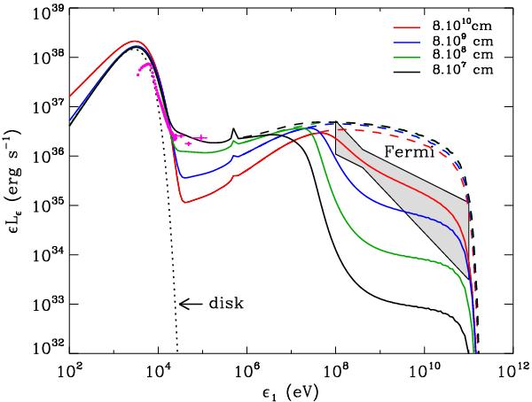
Fig. 7

Simulated high-energy spectrum from the corona in Cygnus X-3 with BELM. The multicolor black-body spectrum from the accretion disk (black dotted line) is comptonized by a population of thermal and non-thermal electrons that are heated and accelerated in the corona up to a maximum Lorentz factor γmax = 2 × 105. The black line shows the best-fit solution (not corrected from absorption of soft X-rays by the ISM and the stellar wind) to the X-ray data (archive RXTE data, pink crosses from Szostek et al. 2008) in the ultra-soft state given in Hjalmarsdotter et al. (2009). This solution corresponds to a corona of radius Rc = 8 × 107 cm and a total unabsorbed bolometric luminosity Lbol = 3.6 × 1038 (at 9 kpc). This figure also shows the spectra for Rc = 8 × 108 (green), 8 × 109 (blue) and 8 × 1010 cm (red), assuming the same bolometric luminosity. The dashed lines are the intrinsic spectra (without pair production) and the solid lines are the absorbed spectra that reach the observer. The Fermi power-law taken from Abdo et al. (2009) is overplotted for comparison.
Current usage metrics show cumulative count of Article Views (full-text article views including HTML views, PDF and ePub downloads, according to the available data) and Abstracts Views on Vision4Press platform.
Data correspond to usage on the plateform after 2015. The current usage metrics is available 48-96 hours after online publication and is updated daily on week days.
Initial download of the metrics may take a while.