Free Access
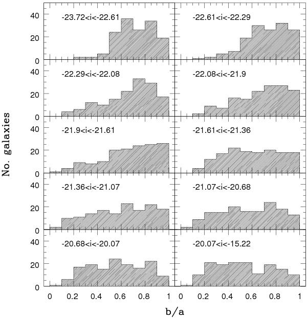
Fig. 10

Distribution of apparent axial ratio for the disc components of the 1469 galaxies in the spectroscopic sample modelled successfully in the i band by a de Vaucouleurs plus an exponential. Galaxies are split by absolute magnitude into 10 bins containing approximately equal numbers of objects.
Current usage metrics show cumulative count of Article Views (full-text article views including HTML views, PDF and ePub downloads, according to the available data) and Abstracts Views on Vision4Press platform.
Data correspond to usage on the plateform after 2015. The current usage metrics is available 48-96 hours after online publication and is updated daily on week days.
Initial download of the metrics may take a while.