Free Access
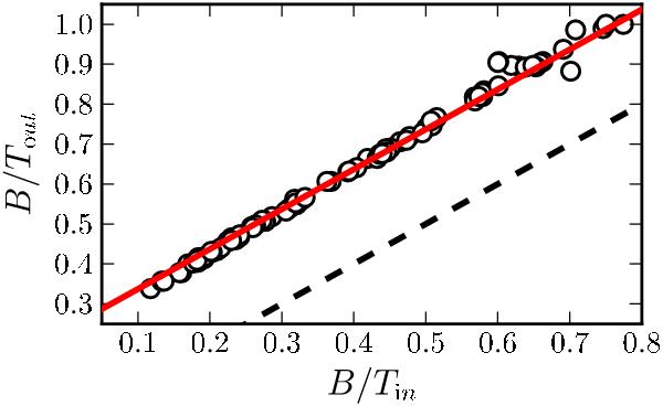
Fig. A.1

Correlation between the input B/T for 100 model barred galaxies and the best-fitting B/T recovered using Gim2d. The black dashed line is the 1:1 correlation while the red line is the 1:1 line shifted according to the measured offset of 0.237.
Current usage metrics show cumulative count of Article Views (full-text article views including HTML views, PDF and ePub downloads, according to the available data) and Abstracts Views on Vision4Press platform.
Data correspond to usage on the plateform after 2015. The current usage metrics is available 48-96 hours after online publication and is updated daily on week days.
Initial download of the metrics may take a while.