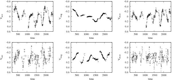
Fig. 1

Sample EROS light curves for two stars with spectral types assigned by Cioni et al. (2001): DCMC J052618.12-694100.0 of type C (top row) and DCMC J052446.91-694949.9 of type M (bottom row). The left, middle, and right panels present the raw, low-pass, and high-pass light curves, respectively. For details of filtering see Sect. 3.2
Current usage metrics show cumulative count of Article Views (full-text article views including HTML views, PDF and ePub downloads, according to the available data) and Abstracts Views on Vision4Press platform.
Data correspond to usage on the plateform after 2015. The current usage metrics is available 48-96 hours after online publication and is updated daily on week days.
Initial download of the metrics may take a while.