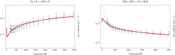
Fig. 1

Two example reactions to demonstrate how extremely reactions might diverge from physically reasonable numbers if γ ≪ 0. The final fit is shown in red, the UDFA rates are shown in light blue. Left: the UDFA extrapolation to k(10 K) = 4.5 × 104 compared to 2.5 × 10-12 in our new fit. Right: the UDFA extrapolation to k(10 K) = 2.3 compared to 1.3 × 10-10 in our new fit.
Current usage metrics show cumulative count of Article Views (full-text article views including HTML views, PDF and ePub downloads, according to the available data) and Abstracts Views on Vision4Press platform.
Data correspond to usage on the plateform after 2015. The current usage metrics is available 48-96 hours after online publication and is updated daily on week days.
Initial download of the metrics may take a while.