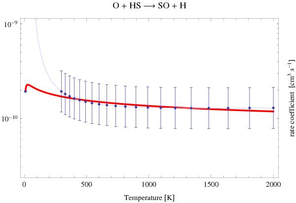
Fig. 5

Example reaction that can be fitted very well (maximum additional error is 11%), but has a less extreme low temperature behavior. The final fit is shown in red, the UDFA rates for each individual temperature regime are shown in light blue. The difference in k(10 K) is 10 orders of magnitudes between the UDFA rates and our new fitted rates.
Current usage metrics show cumulative count of Article Views (full-text article views including HTML views, PDF and ePub downloads, according to the available data) and Abstracts Views on Vision4Press platform.
Data correspond to usage on the plateform after 2015. The current usage metrics is available 48-96 hours after online publication and is updated daily on week days.
Initial download of the metrics may take a while.