Free Access
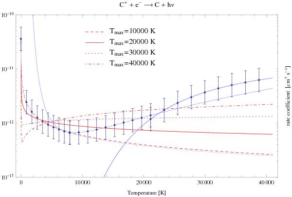
Fig. 6

UDFA lists three C+ recombination reactions for temperatures from 10 to 41 000 K. The two reaction rates for the higher temperatures show a very different behavior compared to the reaction that is valid from 10 to 8000 K. Applying different values of Tmax during the fit leads to significantly different results.
Current usage metrics show cumulative count of Article Views (full-text article views including HTML views, PDF and ePub downloads, according to the available data) and Abstracts Views on Vision4Press platform.
Data correspond to usage on the plateform after 2015. The current usage metrics is available 48-96 hours after online publication and is updated daily on week days.
Initial download of the metrics may take a while.