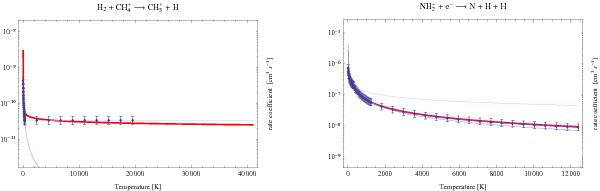
Fig. 8

Two example reactions to demonstrate the wide range of error values. The final fit is shown in red, the UDFA rates for each individual temperature regime are shown in light blue. Left: this reaction is listed with two very differently behaving reaction rates. Consequently, the simultaneous fit has relatively large errors especially at the interface between bow temperature regimes. Still, we consider the fit to be very good because of its overall capability to reproduce the general behavior in both regimes. Right: this reaction is listed with three distinct temperature regimes. The simultaneous fit is nevertheless a very good approximation to all three UDFA rates in the relevant temperature ranges.
Current usage metrics show cumulative count of Article Views (full-text article views including HTML views, PDF and ePub downloads, according to the available data) and Abstracts Views on Vision4Press platform.
Data correspond to usage on the plateform after 2015. The current usage metrics is available 48-96 hours after online publication and is updated daily on week days.
Initial download of the metrics may take a while.