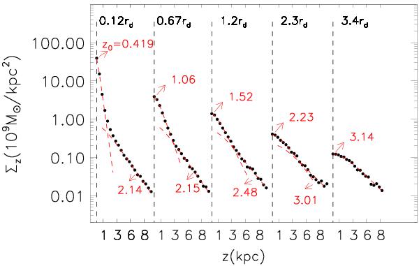
Fig. 2

Vertical stellar surface density profiles of a post-merger thick stellar disk at 0.5 Gyr after the completion of a dissipationless minor merger (black). We show profiles at a variety of distances from the galaxy center along the galactic mid-plane, in units of the disk scale length rd. Also shown are the double sech functions fitted to the profiles and their corresponding scale heights z0 in kpc (labeled in red).
Current usage metrics show cumulative count of Article Views (full-text article views including HTML views, PDF and ePub downloads, according to the available data) and Abstracts Views on Vision4Press platform.
Data correspond to usage on the plateform after 2015. The current usage metrics is available 48-96 hours after online publication and is updated daily on week days.
Initial download of the metrics may take a while.