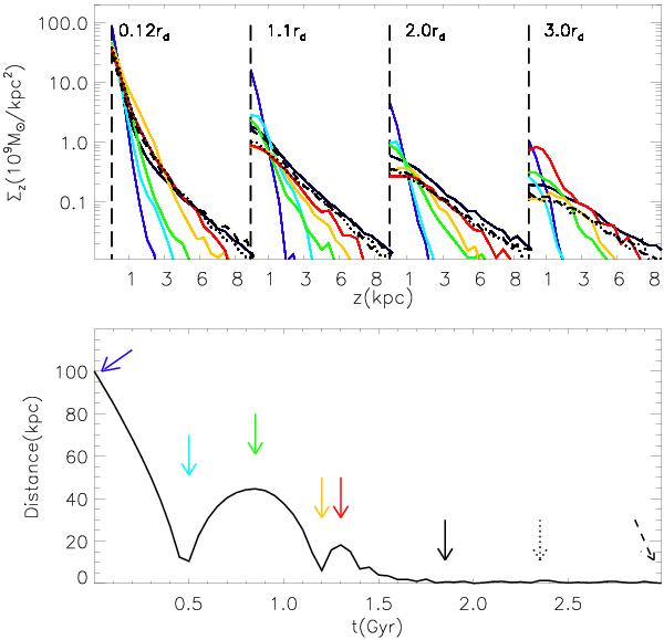
Fig. 3

Upper panel: vertical stellar surface density profiles as function of radius and time (indicated by color; see lower panel) for a dissipationless minor merger. The radius is indicated by the 4 black labels. Lower panel: the distance between the centers of the satellite and the primary galaxy as function of time. Arrows mark the merger phases which correspond to profiles with the same color and line styles shown in the upper panel.
Current usage metrics show cumulative count of Article Views (full-text article views including HTML views, PDF and ePub downloads, according to the available data) and Abstracts Views on Vision4Press platform.
Data correspond to usage on the plateform after 2015. The current usage metrics is available 48-96 hours after online publication and is updated daily on week days.
Initial download of the metrics may take a while.