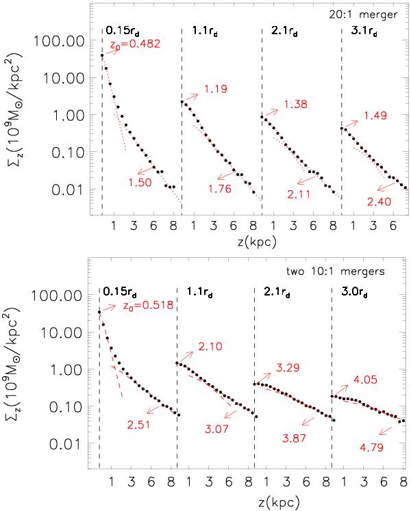
Fig. 8

Vertical stellar surface density profiles of a post-merger thick stellar disk 0.5 Gyr after the completion of a single dissipationless minor merger with a mass ratio of 20:1 (upper panel), and two consecutive dissipationless minor mergers with a mass ratio of 10:1 (lower panel). We show profiles at four different exponential disk scale lengths, rd, from the galaxy center along the major axis of the galactic mid-plane. Superposed on these distributions are the fitted double sech functions and their corresponding scale heights (in red).
Current usage metrics show cumulative count of Article Views (full-text article views including HTML views, PDF and ePub downloads, according to the available data) and Abstracts Views on Vision4Press platform.
Data correspond to usage on the plateform after 2015. The current usage metrics is available 48-96 hours after online publication and is updated daily on week days.
Initial download of the metrics may take a while.