Free Access
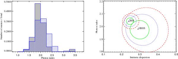
Fig. 7

Left panel: photon index distribution for the BSS (dashed histogram) and the HBSS (filled histogram). Right panel: computed mean photon index and intrinsic dispersion for the BSS and the HBSS along with the 1σ (solid line), 2σ (dotted line) and 3σ (dashed line) confidence contours.
This figure is made of several images, please see below:
Current usage metrics show cumulative count of Article Views (full-text article views including HTML views, PDF and ePub downloads, according to the available data) and Abstracts Views on Vision4Press platform.
Data correspond to usage on the plateform after 2015. The current usage metrics is available 48-96 hours after online publication and is updated daily on week days.
Initial download of the metrics may take a while.