Free Access

Fig. 1

thumbnail

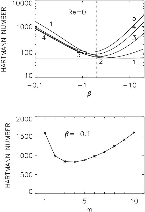
Neutral stability for negative β and for μB = 2. Top: the curves are marked with their mode number m. The minimum Hartmann number of the toroidal field with Ha = 57.6 exists for |β| = 8 (thin horizontal line). Bottom: Hartmann number as a function of the azimuthal wave number m. Note the clear minimum for medium m > 1. Both plots are valid for all magnetic Prandtl numbers.

This figure is made of several images, please see below:

Current usage metrics show cumulative count of Article Views (full-text article views including HTML views, PDF and ePub downloads, according to the available data) and Abstracts Views on Vision4Press platform.

Data correspond to usage on the plateform after 2015. The current usage metrics is available 48-96 hours after online publication and is updated daily on week days.

Initial download of the metrics may take a while.