Free Access

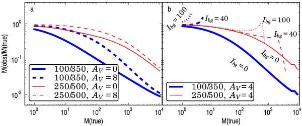
Fig. 4

thumbnail

The ratio of observed mass and the real core mass for a series of models obtained by scaling the density of a one solar mass Bonnor-Ebert sphere. In frame a), the masses are determined with the 100 μm and 350 μm observations (thick lines) or the 250 μm and 500 μm observations (thin lines). The core is illuminated by the full ISRF (solid lines) or with a field that has been attenuated by AV = 8m. Frame b) shows results for background subtracted observations after including a uniform background that at 100 μm has an intensity of 0, 40, or 100 MJy sr-1.

Current usage metrics show cumulative count of Article Views (full-text article views including HTML views, PDF and ePub downloads, according to the available data) and Abstracts Views on Vision4Press platform.

Data correspond to usage on the plateform after 2015. The current usage metrics is available 48-96 hours after online publication and is updated daily on week days.

Initial download of the metrics may take a while.