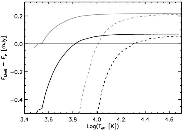
Fig. 22

Extra amount of flux above the naked atmosphere needed in the system of a post-AGB star to be detected by Spitzer. We display the difference between the faint limit at 8 (black) and 24 μm (grey) and the minimal amount of flux that should be present in the system of a naked post-AGB candidate in those filters for a range of effective temperatures of the central star. The solid and dashed lines correspond to a luminosity of 1000 and 35 000 L⊙ respectively.
Current usage metrics show cumulative count of Article Views (full-text article views including HTML views, PDF and ePub downloads, according to the available data) and Abstracts Views on Vision4Press platform.
Data correspond to usage on the plateform after 2015. The current usage metrics is available 48-96 hours after online publication and is updated daily on week days.
Initial download of the metrics may take a while.