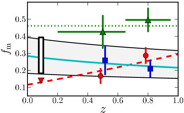
Fig. 5

Minor (squares), major (dots), and major + minor (triangles) merger fraction of galaxies for
kpc as a function of redshift. The points are shifted when necessary to avoid overlap. The z error bars in the total merger fraction mark the redshift range spanned by VVDS-Deep data. The inverted triangle is the major merger fraction at z = 0.09 from MGC. The white rectangle is the local (z = 0.09) minor merger fraction derived from the total and the major merger ones, while the gray area identifies the most probable minor merger fraction values in the range 0 < z < 1 (see text for details). The solid line is the best fit of a power-law function with a fixed index, fmm ∝ (1 + z)-0.4, to the minor merger fraction data. The dashed line is the least-squares best fit of a power-law function to the major merger fraction data. The dotted line is the major + minor merger fraction if it is assumed constant. (A colour version of this plot is available in electronic form.)
Current usage metrics show cumulative count of Article Views (full-text article views including HTML views, PDF and ePub downloads, according to the available data) and Abstracts Views on Vision4Press platform.
Data correspond to usage on the plateform after 2015. The current usage metrics is available 48-96 hours after online publication and is updated daily on week days.
Initial download of the metrics may take a while.