Free Access
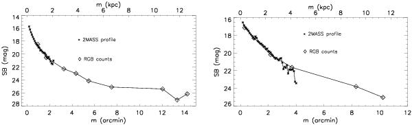
Fig. 13

Comparison of surface brightness profiles from 2MASS K-band images with our RGB star counts for NGC 1569 (left) and NGC 4449 (right). A vertical shift was applied to the RGB profiles to line the profiles up.
This figure is made of several images, please see below:
Current usage metrics show cumulative count of Article Views (full-text article views including HTML views, PDF and ePub downloads, according to the available data) and Abstracts Views on Vision4Press platform.
Data correspond to usage on the plateform after 2015. The current usage metrics is available 48-96 hours after online publication and is updated daily on week days.
Initial download of the metrics may take a while.