Free Access
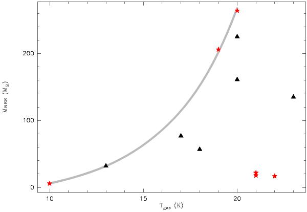
Fig. 5

Gas temperature derived from VLA NH3 observations versus the dust mass for the two filaments. Triangles and stars mark G29.96e and G35.20w respectively. The gray curve is shown to indicate the parameter space avoided in mass-temperature space.
Current usage metrics show cumulative count of Article Views (full-text article views including HTML views, PDF and ePub downloads, according to the available data) and Abstracts Views on Vision4Press platform.
Data correspond to usage on the plateform after 2015. The current usage metrics is available 48-96 hours after online publication and is updated daily on week days.
Initial download of the metrics may take a while.