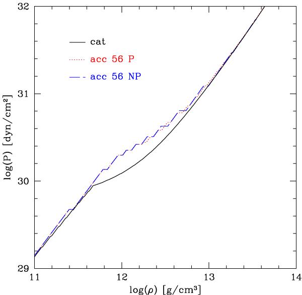
Fig. 1

EOS for the crusts calculated using the Mackie-Baym model of nuclei and neutron matter. Explanation of the labels: cat – cold catalyzed matter; acc.56.P – initial X-ray burst ashes Ai = 56, pycnonuclear fusion switched on; acc.56.NP – initial X-ray burst ashes Ai = 56, pycnonuclear fusion switched off till 1013 g cm-3. For further details see Sect. 2.3. (Color online.)
Current usage metrics show cumulative count of Article Views (full-text article views including HTML views, PDF and ePub downloads, according to the available data) and Abstracts Views on Vision4Press platform.
Data correspond to usage on the plateform after 2015. The current usage metrics is available 48-96 hours after online publication and is updated daily on week days.
Initial download of the metrics may take a while.