Free Access
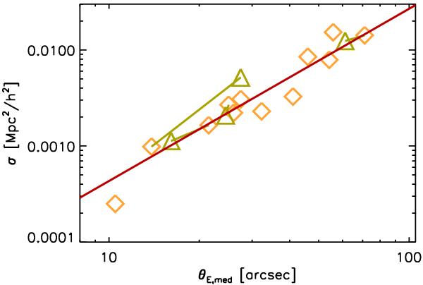
Fig. A.1

Shift of the some of the MACS clusters in the σ − θE, when alternative models obtained with lenstool are used to derive the Einstein rings and the lensing cross sections.
Current usage metrics show cumulative count of Article Views (full-text article views including HTML views, PDF and ePub downloads, according to the available data) and Abstracts Views on Vision4Press platform.
Data correspond to usage on the plateform after 2015. The current usage metrics is available 48-96 hours after online publication and is updated daily on week days.
Initial download of the metrics may take a while.