Free Access
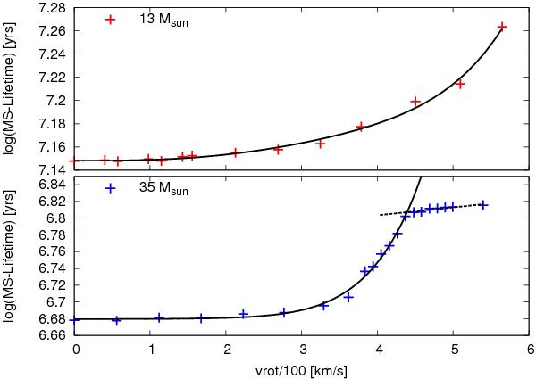
Fig. 2

The logarithm of the MS lifetime is plotted against the ZAMS rotational velocity for our 13 M⊙ (top) and 35 M⊙ (bottom) sequences. In black we show the polynomial fit to the model data. The bottom panel shows also the linear part (dashed line) used to fit the models evolving quasi-chemically homogeneously.
Current usage metrics show cumulative count of Article Views (full-text article views including HTML views, PDF and ePub downloads, according to the available data) and Abstracts Views on Vision4Press platform.
Data correspond to usage on the plateform after 2015. The current usage metrics is available 48-96 hours after online publication and is updated daily on week days.
Initial download of the metrics may take a while.