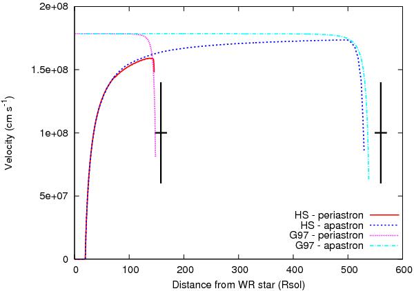
Fig. 3

The WR’s wind velocity along the line of centres calculated using hydrodynamic simulations with radiatively driven stellar winds (HS), and using the analytical radiative braking prescription of (Gayley et al. 1997, G97). The crosses indicate the position of the O star at periastron (~158R⊙) and apastron (~560R⊙), and the cross width corresponds to the diameter of the O star. Note that orbital motion is not included in these calculations.
Current usage metrics show cumulative count of Article Views (full-text article views including HTML views, PDF and ePub downloads, according to the available data) and Abstracts Views on Vision4Press platform.
Data correspond to usage on the plateform after 2015. The current usage metrics is available 48-96 hours after online publication and is updated daily on week days.
Initial download of the metrics may take a while.