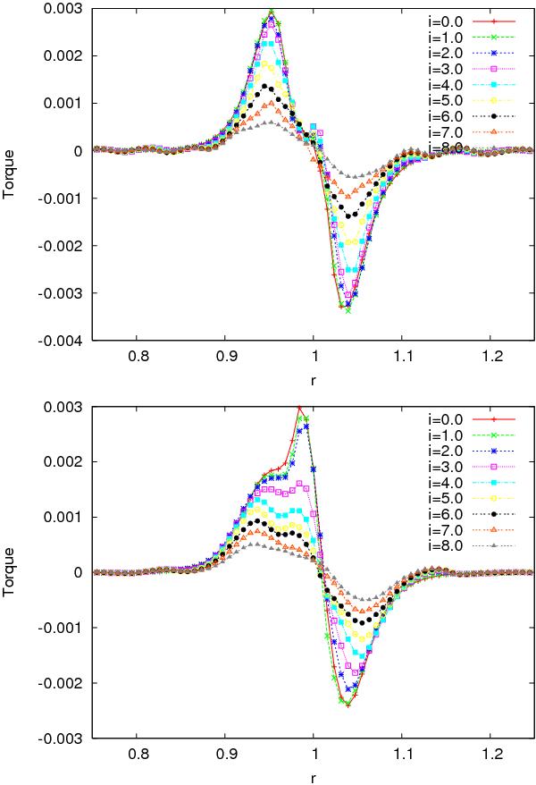
Fig. 4

Torque density acting on a planet on a fixed inclined orbit in dependency of the inclination of the planet embedded in an isothermal H/r = 0.037 disc (top) and a fully radiative disc (bottom). The snapshots are taken at t = 90 orbits for the isothermal simulations and at t = 150 orbits for the fully radiative simulations. At this time planet-disc interactions are in equilibrium and the planet is at its lowest point in orbit (lower culmination).
Current usage metrics show cumulative count of Article Views (full-text article views including HTML views, PDF and ePub downloads, according to the available data) and Abstracts Views on Vision4Press platform.
Data correspond to usage on the plateform after 2015. The current usage metrics is available 48-96 hours after online publication and is updated daily on week days.
Initial download of the metrics may take a while.