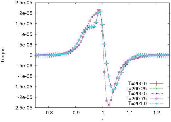
Fig. 5

Torque density acting on a 20 MEarth planet on a fixed inclined orbit with i = 2.0° in a fully radiative disc at different phases within its orbit. Integer (half integer) values of the indicated time refer to the upper (lower) culmination. At the intermediate quarterly orbit times the planet moves through the nodal line.
Current usage metrics show cumulative count of Article Views (full-text article views including HTML views, PDF and ePub downloads, according to the available data) and Abstracts Views on Vision4Press platform.
Data correspond to usage on the plateform after 2015. The current usage metrics is available 48-96 hours after online publication and is updated daily on week days.
Initial download of the metrics may take a while.