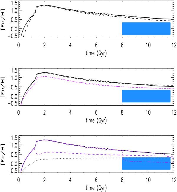
Fig. 2

Lines: predicted [Fe/H] in the ISM versus time. Shaded region: range of typical observed values from the literature (errors not included). Upper panel: Model 1a (fiducial, solid), Model 1ad (fiducial+dust, dashed). Middle panel: Model 1a (fiducial, solid), Model 2a (WDD1 SNIa, dashed), Model 3a (C-DTT SNIa, dot-dashed). Lower panel: Model 1a (fiducial, solid) compared to Models 4a (dashed), Model 4b (dotted), and Model 5a (dot-dashed) with various SNIa rates.
Current usage metrics show cumulative count of Article Views (full-text article views including HTML views, PDF and ePub downloads, according to the available data) and Abstracts Views on Vision4Press platform.
Data correspond to usage on the plateform after 2015. The current usage metrics is available 48-96 hours after online publication and is updated daily on week days.
Initial download of the metrics may take a while.