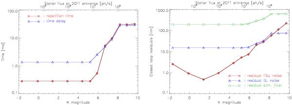
Fig. 10

Left: closed-loop repetition time and time delay in the loop as a function of target K magnitude. For stars fainter than K = 6, the loop repetition time is increased (i.e., its frequency decreased) to ensure a sufficient SNR on the detected fringes in each individual measurement (until the specified SNR cannot be reached any more whatever the integration time). Right: noise residuals at the output of the closed loop, for the three main contributors: fringe sensing (FSU), delay line (DL) and atmospheric noises.
Current usage metrics show cumulative count of Article Views (full-text article views including HTML views, PDF and ePub downloads, according to the available data) and Abstracts Views on Vision4Press platform.
Data correspond to usage on the plateform after 2015. The current usage metrics is available 48-96 hours after online publication and is updated daily on week days.
Initial download of the metrics may take a while.