Free Access

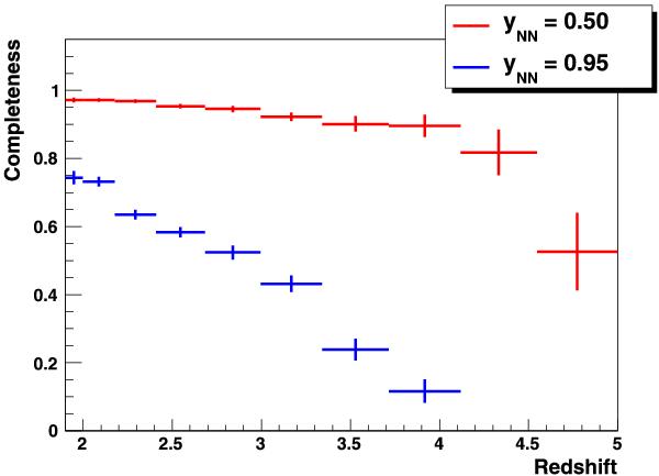
Fig. 11

thumbnail

Completeness C vs. redshift for two thresholds on the output of the variability NN corresponding to those used for the selections of Sects. 3.1 (main sample, with yNN > 0.50) and 3.2 (extreme variability sample, with yNN > 0.95).

Current usage metrics show cumulative count of Article Views (full-text article views including HTML views, PDF and ePub downloads, according to the available data) and Abstracts Views on Vision4Press platform.

Data correspond to usage on the plateform after 2015. The current usage metrics is available 48-96 hours after online publication and is updated daily on week days.

Initial download of the metrics may take a while.