Free Access
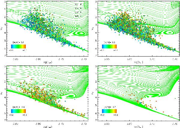
Fig. 12

BASTI isochrones for different ages at a given metallicity (continuous lines) compared to stars of similar [M/H] , where the difference ± 0.1 or ± 0.2 dex is coded by colours. Larger symbols are for stars with higher parallax accuracy as labelled in the top left panel. Only stars in the irfm sample are shown.
Current usage metrics show cumulative count of Article Views (full-text article views including HTML views, PDF and ePub downloads, according to the available data) and Abstracts Views on Vision4Press platform.
Data correspond to usage on the plateform after 2015. The current usage metrics is available 48-96 hours after online publication and is updated daily on week days.
Initial download of the metrics may take a while.