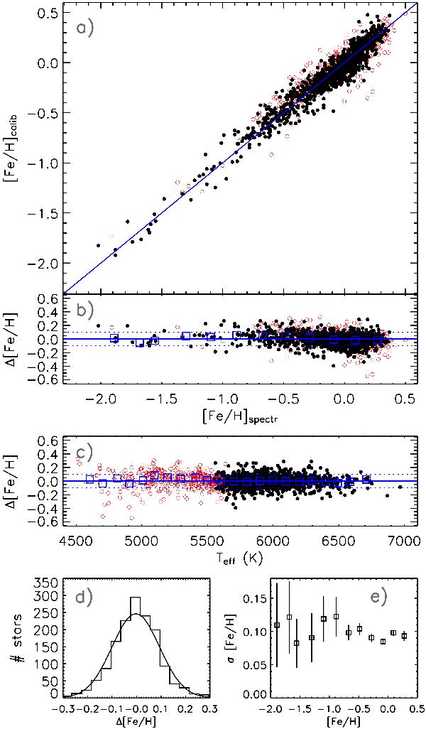
Fig. 5

Panel a) spectroscopic versus photometric metallicities obtained using the calibration presented in Sect. 2.2 for 1498 stars. Filled circles are for stars having (b − y) < 0.43, open circles for redder (i.e. cooler) stars. Panel b) same as above, but showing residuals (ours minus spectroscopic). Dotted lines are 1σ scatter and boxes the median values in non overlapping intervals of 0.2 dex. Panel c) same as in the previous one, but as a function of Teff, with boxes computed in non overlapping intervals of 100 K. The overall zeropoint offset is μ = −0.003 dex and σ = 0.097 dex. Panel d) distribution of the residuals of our calibration against spectroscopy with a Gaussian of width σ and centred at μ overplotted. Panel e) standard deviation associated to each square computed in panel b) with error bars being the standard deviation of the mean.
Current usage metrics show cumulative count of Article Views (full-text article views including HTML views, PDF and ePub downloads, according to the available data) and Abstracts Views on Vision4Press platform.
Data correspond to usage on the plateform after 2015. The current usage metrics is available 48-96 hours after online publication and is updated daily on week days.
Initial download of the metrics may take a while.