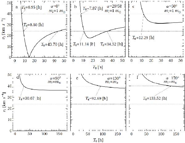
Fig. 1

Impactor incident speed vi as a function of the initial period T0 for mi = 1 m⊕, obtained through angular momentum transfer for the most probable impact parameter b = 2/3 Rc. a) α = 0°, b) α = 29.58°, c) α = 60°, d α = 90°, e) α = 130°, and f) α = 170°. The upper constraint on vi (viM) is depicted by dotted lines while the lower constraint on vi (vim) is shown by dashed lines. viM and vim are obtained from simple dynamical constraints.
Current usage metrics show cumulative count of Article Views (full-text article views including HTML views, PDF and ePub downloads, according to the available data) and Abstracts Views on Vision4Press platform.
Data correspond to usage on the plateform after 2015. The current usage metrics is available 48-96 hours after online publication and is updated daily on week days.
Initial download of the metrics may take a while.