Free Access
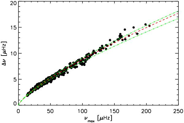
Fig. 3

Δν vs. νmax for field red giants with the fit through all the data in red. The upper green dashed line is a for the low-mass sample and the lower green dashed line is a fit for the high mass stars (see text for an explanation of the samples).
Current usage metrics show cumulative count of Article Views (full-text article views including HTML views, PDF and ePub downloads, according to the available data) and Abstracts Views on Vision4Press platform.
Data correspond to usage on the plateform after 2015. The current usage metrics is available 48-96 hours after online publication and is updated daily on week days.
Initial download of the metrics may take a while.