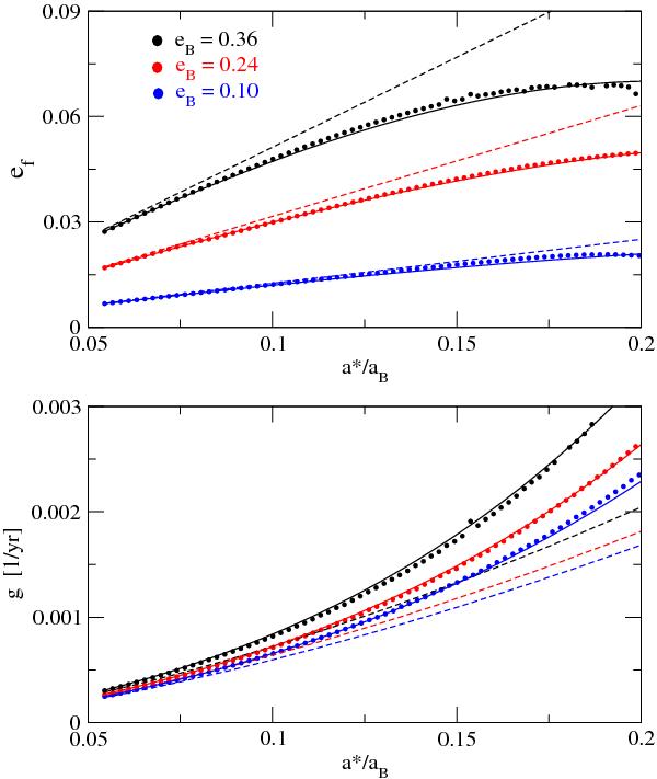
Fig. 3

Variation in the forced eccentricity (top) and secular frequency (bottom), in terms of the proper semimajor axis, for three values of the binary eccentricity eB. As before, filled circles present results from filtered exact numerical simulations, dashed lines correspond to the first-order analytical model, while the empirical solutions (17) are shown in continuous lines.
Current usage metrics show cumulative count of Article Views (full-text article views including HTML views, PDF and ePub downloads, according to the available data) and Abstracts Views on Vision4Press platform.
Data correspond to usage on the plateform after 2015. The current usage metrics is available 48-96 hours after online publication and is updated daily on week days.
Initial download of the metrics may take a while.