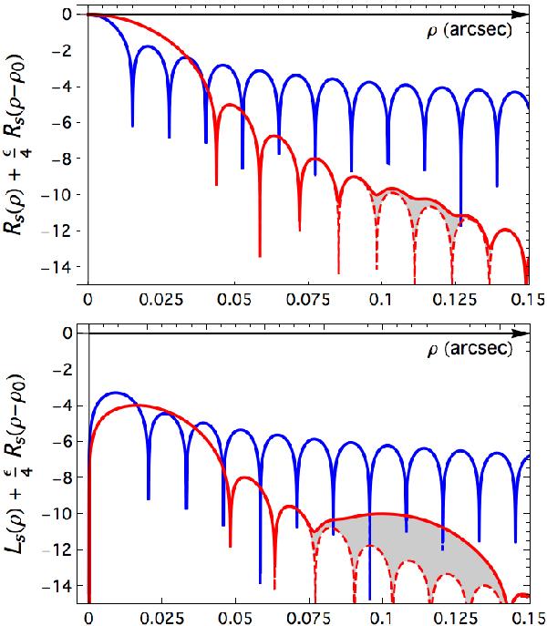
Fig. 8

Intensity in logarithmic scale of a 10 pc distant star and a planet located at 1 AU from it (0.1′′) with a flux ratio of 1010. The diameter of the telescope is 10 m and the observation wavelength 600 nm. Top: without a nuller coronagraph, bottom: with a nuller coronagraph. The cases of a clear aperture (blue curve) and apodized aperture (red curve) are compared. The dashed curves correspond to the image of the star alone. The gray areas highlight the contributions of the planet.
Current usage metrics show cumulative count of Article Views (full-text article views including HTML views, PDF and ePub downloads, according to the available data) and Abstracts Views on Vision4Press platform.
Data correspond to usage on the plateform after 2015. The current usage metrics is available 48-96 hours after online publication and is updated daily on week days.
Initial download of the metrics may take a while.