Free Access
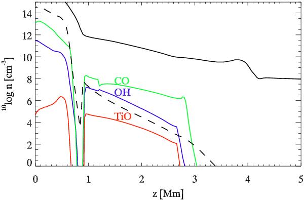
Fig. 12

Molecular densities in the exemplary column indicated by a dashed line in Fig. 1. The densities of CO (green), OH (blue) and TiO (red) are based on instantaneous chemical equilibrium. The H2 density (black dashed) is based on our EOS. The total number density of hydrogen atoms is plotted in solid black for comparison.
Current usage metrics show cumulative count of Article Views (full-text article views including HTML views, PDF and ePub downloads, according to the available data) and Abstracts Views on Vision4Press platform.
Data correspond to usage on the plateform after 2015. The current usage metrics is available 48-96 hours after online publication and is updated daily on week days.
Initial download of the metrics may take a while.