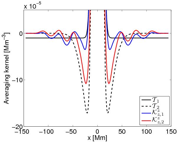
Fig. 24

To solve the peculiarity of the vz inversion, we introduced two formalisms in Sect. 5.1. Here we plot performance of those. In black, the magnified section a y = 0 and z = z0 of different target functions are displayed, one with removed mean (1) and one constructed with negative side-lobes (2). The resulting averaging kernels are also plotted. It is evident that the resulting averaging kernels are qualitatively very similar even when different formalisms were used to compute them.
Current usage metrics show cumulative count of Article Views (full-text article views including HTML views, PDF and ePub downloads, according to the available data) and Abstracts Views on Vision4Press platform.
Data correspond to usage on the plateform after 2015. The current usage metrics is available 48-96 hours after online publication and is updated daily on week days.
Initial download of the metrics may take a while.