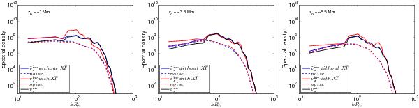
Fig. 28

The azimuthally-averaged power spectra of the vz inversion components at depths of 1, 3.5 and 5.5 Mm for averaging over many flow representations. For reference, we plot the power spectrum of using the black solid line. Then we plot the power spectrum of
(solid line) and power spectrum of the noise (i.e., the power spectrum of
; dashed line) for the inversion where the cross-talk is minimised (blue) and ignored (red). Compare to Fig. 14.
Current usage metrics show cumulative count of Article Views (full-text article views including HTML views, PDF and ePub downloads, according to the available data) and Abstracts Views on Vision4Press platform.
Data correspond to usage on the plateform after 2015. The current usage metrics is available 48-96 hours after online publication and is updated daily on week days.
Initial download of the metrics may take a while.