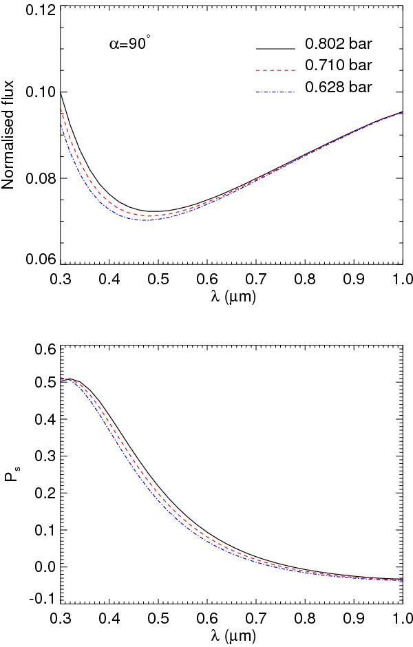
Fig. 12

Normalised flux πFn (upper panel) and Ps (lower panel) as functions of the wavelength λ for model planets with cloud layers with cloud top pressures ptop equal to 0.802 bar (solid line), 0.710 bar (dashed line) and 0.628 bar (dashed-dotted line). The cloud layer has an optical thickness b = 10 (at 0.55 μm), and is composed of model A particles. The planetary phase angle α is 90°.
Current usage metrics show cumulative count of Article Views (full-text article views including HTML views, PDF and ePub downloads, according to the available data) and Abstracts Views on Vision4Press platform.
Data correspond to usage on the plateform after 2015. The current usage metrics is available 48-96 hours after online publication and is updated daily on week days.
Initial download of the metrics may take a while.