Free Access

Fig. A.3

thumbnail

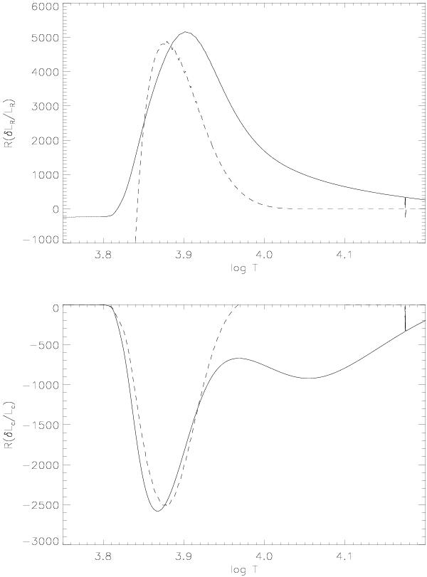
Top: real part of the radiative luminosity perturbation for the mode of radial order n = 23 versus logarithm of temperature. The solid line represents the full non-adiabatic computation as described in Sect. A.1, while the dashed line represents the approximate expression given by Eq. (A.6). The rapid variation near log T = 4.17 is the result of the presence of a node of the eigenfunction. Bottom: real part of the convective luminosity perturbation for the mode of radial order n = 23 versus logarithm of temperature. The solid line represents the full non-adiabatic computation as described in Sect. A.1, while the dashed line represents the approximate expression given by Eq. (A.7).

This figure is made of several images, please see below:

Current usage metrics show cumulative count of Article Views (full-text article views including HTML views, PDF and ePub downloads, according to the available data) and Abstracts Views on Vision4Press platform.

Data correspond to usage on the plateform after 2015. The current usage metrics is available 48-96 hours after online publication and is updated daily on week days.

Initial download of the metrics may take a while.