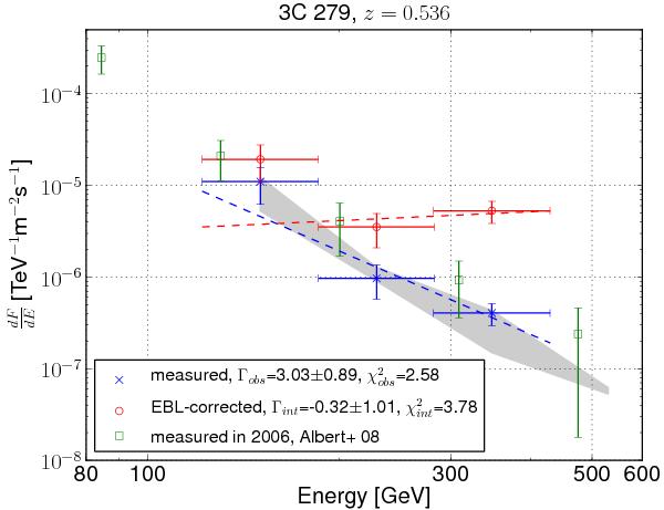
Fig. 2

Spectrum of the VHE γ-ray flare January 16, 2007. The blue points correspond to the measured spectrum with the respective errors on the flux and the bin size in energy. The results of a simple power law fit are shown as blue line. The gray shaded region represents the systematic error of the analysis. The red points show the spectrum deabsorbed using the EBL model by Dominguez et al. (2010) and the red dashed line the fit to this EBL corrected spectrum. For comparison the spectrum from 2006 (Albert et al. 2008a) is shown with green points.
Current usage metrics show cumulative count of Article Views (full-text article views including HTML views, PDF and ePub downloads, according to the available data) and Abstracts Views on Vision4Press platform.
Data correspond to usage on the plateform after 2015. The current usage metrics is available 48-96 hours after online publication and is updated daily on week days.
Initial download of the metrics may take a while.