Free Access

This article has an erratum: [https://doi.org/10.1051/0004-6361/201116511e]


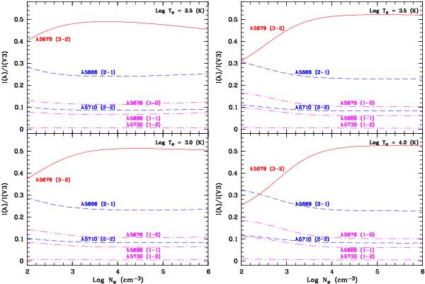
Fig. 5

thumbnail

Fractional intensities of components of Multiplet V3: 2s22p3p 3De–2s22p3s 3P°. The numbers in brackets following the wavelength labels are the total angular momentum quantum numbers J2 − J1 of the upper to lower levels of the transition. Components from upper levels of the same total angular momentum quantum number J are represented by same colour and line type. Four temperature cases, log 10Te = 2.5, 3.0, 3.5 and 4.0 K, are presented.

Current usage metrics show cumulative count of Article Views (full-text article views including HTML views, PDF and ePub downloads, according to the available data) and Abstracts Views on Vision4Press platform.

Data correspond to usage on the plateform after 2015. The current usage metrics is available 48-96 hours after online publication and is updated daily on week days.

Initial download of the metrics may take a while.