Free Access
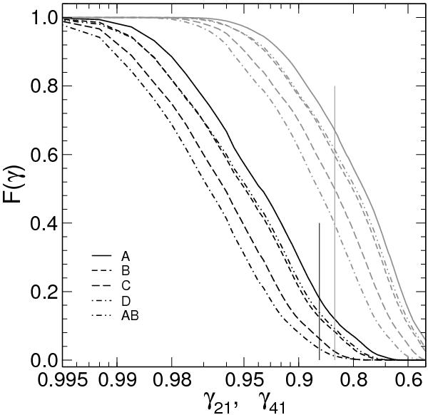
Fig. 3

Cumulative distributions of γ21 (black curves) and γ41 (gray curves) for the apertures A, B, C, D and AB cross-index based on measurements at Mt. Shatdzhatmaz. Vertical lines cut off the points that do not satisfy the SE regime.
Current usage metrics show cumulative count of Article Views (full-text article views including HTML views, PDF and ePub downloads, according to the available data) and Abstracts Views on Vision4Press platform.
Data correspond to usage on the plateform after 2015. The current usage metrics is available 48-96 hours after online publication and is updated daily on week days.
Initial download of the metrics may take a while.