Free Access

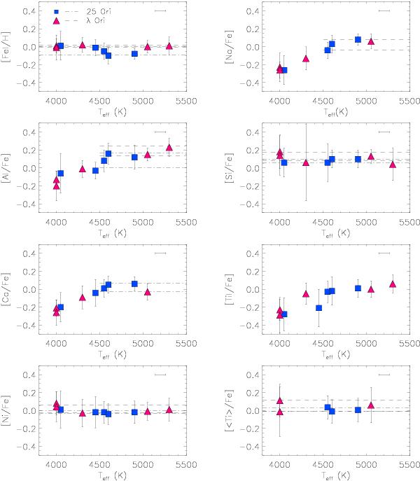
Fig. 8

thumbnail

[X/Fe] versus for our 25 Ori (squares) and λ Ori (triangles) members. Mean abundances values for elements affected by NLTE effects were computed considering the stars with  K, while  ± 1σ dispersions are shown by dash-dotted lines for 25 Ori and dotted lines for λ Ori. The horizontal error bar in all plots represents the typical uncertainty in .

Current usage metrics show cumulative count of Article Views (full-text article views including HTML views, PDF and ePub downloads, according to the available data) and Abstracts Views on Vision4Press platform.

Data correspond to usage on the plateform after 2015. The current usage metrics is available 48-96 hours after online publication and is updated daily on week days.

Initial download of the metrics may take a while.