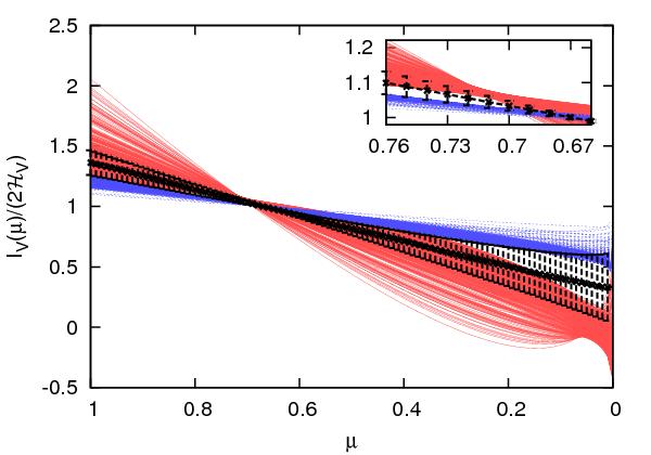
Fig. 6

Comparison of the V-band limb-darkening relation determined by Fields et al. (2003) from observations (black dashed curves with errorbars) with the limb-darkening relations computed from SAtlas model stellar atmospheres (red solid curves) and relations computed from Atlas model stellar atmospheres (blue dotted curves), represented using the same linear-plus-square-root law. The insert shows a magnified view of the region of the fixed μ-point.
Current usage metrics show cumulative count of Article Views (full-text article views including HTML views, PDF and ePub downloads, according to the available data) and Abstracts Views on Vision4Press platform.
Data correspond to usage on the plateform after 2015. The current usage metrics is available 48-96 hours after online publication and is updated daily on week days.
Initial download of the metrics may take a while.