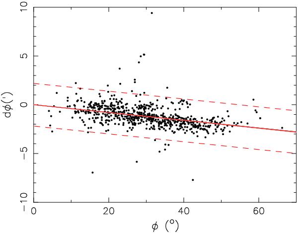
Fig. 7

For each angle φ between an entry in Halley and a reference star, the figures shows the difference dφ ≡ φE − φ between the catalogue value φE and the modern value φ, as a function of φ. The red line shows a linear fit, forced to go through (0, 0), in which points deviating more than 3-sigma have been excluded. The 3-sigma range is indicated with the dashed lines.
Current usage metrics show cumulative count of Article Views (full-text article views including HTML views, PDF and ePub downloads, according to the available data) and Abstracts Views on Vision4Press platform.
Data correspond to usage on the plateform after 2015. The current usage metrics is available 48-96 hours after online publication and is updated daily on week days.
Initial download of the metrics may take a while.