Free Access
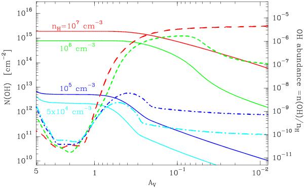
Fig. 4

Gas-phase PDR models of a FUV-illuminated slab (χ = 104) of gas with different densities: nH = 107, 106, 105 and 5 × 104 cm-3. OH column densities are shown as continuous curves (left axis) while OH abundances, n(OH)/nH, are shown as dashed curves (right axes).
Current usage metrics show cumulative count of Article Views (full-text article views including HTML views, PDF and ePub downloads, according to the available data) and Abstracts Views on Vision4Press platform.
Data correspond to usage on the plateform after 2015. The current usage metrics is available 48-96 hours after online publication and is updated daily on week days.
Initial download of the metrics may take a while.